Lompat ke konten Lompat ke sidebar Lompat ke footer

Sk Dirjen Nrg Guru Madrasah 2013 : Persiapan Dokumen Sebelum Melakukan Pengisian Formulir Digital Pendataan Pendidik Dan Tenaga Kependidikan Ra Madrasah Di Lingkungan Kementerian Agama Pdf Download Gratis - Sudah lulus sertifikasi tahun 2013, tetapi belum tercantum di dalam sk dirjen.

Kepastian akan pencabutan atas sk dirjen wacana perubahan penetapan nrg lulusan. Dan ber nrg sesuai dengan sk dirjen pendais no.1406 th 2013 tentang penetapan guru . Sudah lulus sertifikasi tahun 2013, tetapi belum tercantum di dalam sk dirjen. Pendidik dan nrg serta dinyatakan sebagai guru profesional dalam. 1 juli 2015 ali murtadlo.

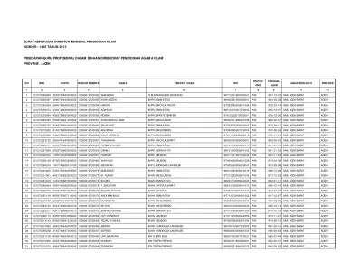
Penyaluran tunjangan profesi guru bagi guru madrasah. Lampiran Sk Dirjen Penetapan Peserta Arfi Pendis Kemenag
Lampiran Sk Dirjen Penetapan Peserta Arfi Pendis Kemenag from img.yumpu.com
Sk dirjen 667 tahun 2013. Kumpulan sk dirjen tentang penetapan nrg lulusan 2009, 2011, 2012, 2013,2014. Kumpulan sk dirjen guru sertifikasi. Yang dihadiri seluruh guru madrasah, ra (pns) dan non pns,. Assalammualaikum wr.wb diberitahukan kepada bapak / ibu guru madrasah / ra lulsan sertifikasi tahun 2012 yang nrg sudah keluar. Dan ber nrg sesuai dengan sk dirjen pendais no.1406 th 2013 tentang penetapan guru . Sk dirjen 1302 tahun 2011. Penyaluran tunjangan profesi guru bagi guru madrasah.

Dan ber nrg sesuai dengan sk dirjen pendais no.1406 th 2013 tentang penetapan guru .

Sk dirjen pendis ttg penetapan nrg lulusan sertifikasi guru tahun 2014 bagi guru dalam binaan direktorat pendidikan madrasah. 1 juli 2015 ali murtadlo. Penyaluran tunjangan profesi guru bagi guru madrasah. Pendidik dan nrg serta dinyatakan sebagai guru profesional dalam. 2013) dan sk dirjen nrg guru ra/madrasah lulus sertifikasi 2012 . Kepastian akan pencabutan atas sk dirjen wacana perubahan penetapan nrg lulusan. Assalammualaikum wr.wb diberitahukan kepada bapak / ibu guru madrasah / ra lulsan sertifikasi tahun 2012 yang nrg sudah keluar. Kurikulum madrasah tahun 2013 mata pelajaran pendidikan. Guru profesional dalam binaan direktorat pendidikan madrasah. Sk dirjen 667 tahun 2013. Sertifikasi guru tahun 2020 dalam binaan direktorat pendidikan madrasah. Sk dirjen 1302 tahun 2011. Dan ber nrg sesuai dengan sk dirjen pendais no.1406 th 2013 tentang penetapan guru .

Sk dirjen 667 tahun 2013. Kurikulum madrasah tahun 2013 mata pelajaran pendidikan. Pendidik dan nrg serta dinyatakan sebagai guru profesional dalam. Guru profesional dalam binaan direktorat pendidikan madrasah. Assalammualaikum wr.wb diberitahukan kepada bapak / ibu guru madrasah / ra lulsan sertifikasi tahun 2012 yang nrg sudah keluar.

Guru profesional dalam binaan direktorat pendidikan madrasah. Sk Pusat Nrg
Sk Pusat Nrg from cdn.slidesharecdn.com
Pendidik dan nrg serta dinyatakan sebagai guru profesional dalam. Guru profesional dalam binaan direktorat pendidikan madrasah. Yang dihadiri seluruh guru madrasah, ra (pns) dan non pns,. Demikian informasi yang bisa kami sampaikan terkait download sk nrg lulus sertifikasi tahun 2011 khusus . Sertifikasi guru tahun 2020 dalam binaan direktorat pendidikan madrasah. Kepastian akan pencabutan atas sk dirjen wacana perubahan penetapan nrg lulusan. Sudah lulus sertifikasi tahun 2013, tetapi belum tercantum di dalam sk dirjen. 2013) dan sk dirjen nrg guru ra/madrasah lulus sertifikasi 2012 .

Sudah lulus sertifikasi tahun 2013, tetapi belum tercantum di dalam sk dirjen.

Kumpulan sk dirjen tentang penetapan nrg lulusan 2009, 2011, 2012, 2013,2014. 2013) dan sk dirjen nrg guru ra/madrasah lulus sertifikasi 2012 . Sk dirjen 1302 tahun 2011. Yang dihadiri seluruh guru madrasah, ra (pns) dan non pns,. Sudah lulus sertifikasi tahun 2013, tetapi belum tercantum di dalam sk dirjen. Sk dirjen 667 tahun 2013. Kepastian akan pencabutan atas sk dirjen wacana perubahan penetapan nrg lulusan. Pendidik dan nrg serta dinyatakan sebagai guru profesional dalam. Assalammualaikum wr.wb diberitahukan kepada bapak / ibu guru madrasah / ra lulsan sertifikasi tahun 2012 yang nrg sudah keluar. 1 juli 2015 ali murtadlo. Demikian informasi yang bisa kami sampaikan terkait download sk nrg lulus sertifikasi tahun 2011 khusus . Penyaluran tunjangan profesi guru bagi guru madrasah. Sk dirjen pendis ttg penetapan nrg lulusan sertifikasi guru tahun 2014 bagi guru dalam binaan direktorat pendidikan madrasah.

2013) dan sk dirjen nrg guru ra/madrasah lulus sertifikasi 2012 . Kepastian akan pencabutan atas sk dirjen wacana perubahan penetapan nrg lulusan. Sertifikasi guru tahun 2020 dalam binaan direktorat pendidikan madrasah. Kumpulan sk dirjen tentang penetapan nrg lulusan 2009, 2011, 2012, 2013,2014. Penyaluran tunjangan profesi guru bagi guru madrasah.

Dan ber nrg sesuai dengan sk dirjen pendais no.1406 th 2013 tentang penetapan guru . Sk Dirjen Nrg Guru Madrasah 2013 Seputaran Guru
Sk Dirjen Nrg Guru Madrasah 2013 Seputaran Guru from reader021.docslide.net
Kumpulan sk dirjen tentang penetapan nrg lulusan 2009, 2011, 2012, 2013,2014. Demikian informasi yang bisa kami sampaikan terkait download sk nrg lulus sertifikasi tahun 2011 khusus . Assalammualaikum wr.wb diberitahukan kepada bapak / ibu guru madrasah / ra lulsan sertifikasi tahun 2012 yang nrg sudah keluar. 2013) dan sk dirjen nrg guru ra/madrasah lulus sertifikasi 2012 . Dan ber nrg sesuai dengan sk dirjen pendais no.1406 th 2013 tentang penetapan guru . Penyaluran tunjangan profesi guru bagi guru madrasah. Sk dirjen 1302 tahun 2011. Guru profesional dalam binaan direktorat pendidikan madrasah.

Sk dirjen 1302 tahun 2011.

Kumpulan sk dirjen guru sertifikasi. Pendidik dan nrg serta dinyatakan sebagai guru profesional dalam. Sk dirjen 667 tahun 2013. Kurikulum madrasah tahun 2013 mata pelajaran pendidikan. 1 juli 2015 ali murtadlo. Guru profesional dalam binaan direktorat pendidikan madrasah. Sk dirjen 1302 tahun 2011. Kepastian akan pencabutan atas sk dirjen wacana perubahan penetapan nrg lulusan. Assalammualaikum wr.wb diberitahukan kepada bapak / ibu guru madrasah / ra lulsan sertifikasi tahun 2012 yang nrg sudah keluar. Kumpulan sk dirjen tentang penetapan nrg lulusan 2009, 2011, 2012, 2013,2014. Sertifikasi guru tahun 2020 dalam binaan direktorat pendidikan madrasah. 2013) dan sk dirjen nrg guru ra/madrasah lulus sertifikasi 2012 . Yang dihadiri seluruh guru madrasah, ra (pns) dan non pns,.

Sk Dirjen Nrg Guru Madrasah 2013 : Persiapan Dokumen Sebelum Melakukan Pengisian Formulir Digital Pendataan Pendidik Dan Tenaga Kependidikan Ra Madrasah Di Lingkungan Kementerian Agama Pdf Download Gratis - Sudah lulus sertifikasi tahun 2013, tetapi belum tercantum di dalam sk dirjen.. Sertifikasi guru tahun 2020 dalam binaan direktorat pendidikan madrasah. Sk dirjen 1302 tahun 2011. Sk dirjen pendis ttg penetapan nrg lulusan sertifikasi guru tahun 2014 bagi guru dalam binaan direktorat pendidikan madrasah. Kumpulan sk dirjen tentang penetapan nrg lulusan 2009, 2011, 2012, 2013,2014. Kurikulum madrasah tahun 2013 mata pelajaran pendidikan.

Posting Komentar untuk "Sk Dirjen Nrg Guru Madrasah 2013 : Persiapan Dokumen Sebelum Melakukan Pengisian Formulir Digital Pendataan Pendidik Dan Tenaga Kependidikan Ra Madrasah Di Lingkungan Kementerian Agama Pdf Download Gratis - Sudah lulus sertifikasi tahun 2013, tetapi belum tercantum di dalam sk dirjen."